Камера статического давления к щелевым решеткам КСД/КСР
- Добавлено в избранное
- Задать вопрос
Описание
Скачать описание
Камера статического давления к щелевым решеткам КСД/КСР
Камера статического давления (КСД/КСР) является элементом систем вентиляции и кондиционирования воздуха и используется для подключения щелевых диффузоров к воздуховоду.
Щелевые решётки с камерами статического давления обеспечивают:
- равномерное истечение воздушного потока по сечению воздухораспределителей;
- снижение шума, приходящего по сети к воздухораспределителю;
- удобство монтажа воздухораспределителей на круглых воздуховодах;
- возможность установки в условиях ограниченного монтажного пространства;
- соответствие требованиям дизайнеров, возможно изготовление сложных форм, в том числе и радиусных.
КСД состоит из стального корпуса с патрубком для подсоединения к воздуховоду.
Щелевые решетки с камерами статического давления изготавливаются от размера 150 мм до 2950 мм с шагом 1 мм. Так же все щелевые решетки с камерами статического давления имеют возможность для монтажа в одну линию, стыковка осуществляется через отверстия в кронштейнах для стыковки на камерах болтовым соединением (крепеж в комплект поставки не входит).
Статическая камера изготавливается из оцинкованной листовой стали 0,4 - 1,5 мм в зависимости от размера и пожелания заказчика. По умолчанию все изделия поставляются в неокрашенном виде.
В случае ограниченного монтажного пространства и с целью максимально сохранить полезную площадь помещения, используются уменьшенные камеры, которые имеют специальную конструкцию. Минимально возможный запас запотолочного пространства 75 мм обеспечивает уменьшенная камера с прямоугольными патрубками 110х55 мм и 204х55 мм и с овальным патрубком для гибкого воздуховода.

Камера статического давления действует как простейший камерный глушитель, снижая шум, распространяющийся по вентиляционной сети на 4-6 дБ. КСД могут снаружи покрываться слоем теплоизоляционного и звукопоглощающего материала. Такая облицовка усиливает эффект снижения камерой шума, приходящего по сети к воздухораспределителю, дополнительно на 6-8 дБ (преимущественно на высоких частотах), а также сокращает потери холода (тепла) приточного воздуха и предотвращает образование конденсата на поверхности КСД при температуре воздуха ниже точки росы.
Патрубки могут быть установлены по любой стороне камеры: верхняя врезка (ВВ), боковая врезка (БВ), осевая врезка (ОВ). В зависимости от длины воздухораспределителя в камеру устанавливается один или два входных патрубка.

Для сборки диффузоров в непрерывную линию по периметру возможно изготовление угловых секций КСД.

При установке системы вентиляции в радиусные стены, ниши, арочные своды требуются адаптеры и диффузоры аналогичной изогнутой формы заданного радиуса. Они могут быть выпуклыми или вогнутыми.

Для регулирования расхода воздуха камеры статического давления КСР дополнительно оснащены устройством, регулирующим объем подаваемого воздуха, которое устанавливается во входном патрубке. Для диффузоров имеющих в комплектации клапан расхода воздуха, применение КСР нерационально, так как изменение расхода воздуха осуществляется непосредственно в воздухораспределителе.

В случае, если имеются особые требования к камерам с нестандартной высотой и (или) нестандартным диаметром присоединительного патрубка, необходимо согласование чертежа.

Характеристики
-
Место примененияПриточно-вытяжная вентиляционная система
-
ПроизводительООО "ЗАВОД ВРК"
-
МатериалОцинкованная сталь
-
КонструкцияНеразборная
-
Предоплата100%
-
БрендTHE GRILLES
Особенности
Чертеж
Отзывы
Отзывов нет. Станьте первым, кто оставит отзыв!
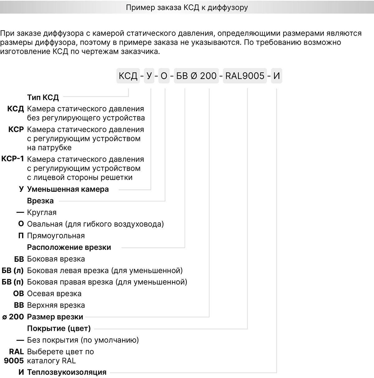
Пример заказа
- Похожие товары
Способы монтажа
Мы располагаем огромными возможностями и выбором
Монтаж наружных решеток встраиваемых
Способы установки ВРН, ВРН-А, ВРН-К, ВРН-С, РН-40 и др.
Монтаж наружных решеток накладного типа
Способы установки накладных решеток ВРН-Н, ВРН-НС, ВРН-МН, ИР-Н
Монтаж регулируемых решеток
Способы установки однорядных и двухрядных вентиляционных решеток РАГ, РАГ-М, РАД, РАГ-В
Монтаж щелевых решеток скрытого монтажа
Airslot / G-Line / Airline-L / Airline-LS / Airline-T / G-Look / PV
Монтаж переточных решеток
Технология установки переточных решеток
Монтаж встраиваемых щелевых решеток серии АДЛ
АДЛ, АДЛ-З, АДЛ-К, АДЛ-КЗ
Получите консультацию
Оставьте свои контактные данные и мы вам перезвоним!